これらの問題を解決したのが,積算解析です.
この解析方法は,私の先輩である樋口先生から教わりました.
詳しくは,
Kinetics of force generation by single kinesin molecules activated by laser photolysis of caged ATP
Hideo Higuchi, Etsuko Muto, Yuichi Inoue, and Toshio Yanagida
Proc Natl Acad Sci U S A. 1997 April 29; 94(9): 4395–4400.
に書かれていますので,参考にしてみてください.
私も,
Kimura, Y., Toyoshima, N., Hirakawa, N., Okamoto, K. & Ishijima, A. (2003).
A kinetic mechanism for the fast movement of Chara myosin.
Journal of Molecular Biology 328, 939-950.
で利用しています.
この解析法を単純に説明すると,
生データを積算した結果をフィットする
ということで,binの設定はありません.
では具体的に説明してみましょう.
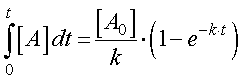
単純な指数関数の減少の計算式は,
![]()
となります.
これを時間の短いものから積算していくと,

というカーブとなります.
そして,実際の実験データを,
小さい順に並べる
1,2と順番をつける
実験データをX軸,1,2の順番をY軸でプロットする
とし,上記の計算式でフィットさせるのです.
たとえば,蛍光色素1分子1分子の退色の時間が,
| 0.50 |
| 0.37 |
| 1.25 |
| 0.14 |
| 0.95 |
| 0.66 |
| 0.25 |
だとしたら,
| 0.14 | 1 |
| 0.25 | 2 |
| 0.37 | 3 |
| 0.50 | 4 |
| 0.66 | 5 |
| 0.95 | 6 |
| 1.25 | 7 |
と並べ替えて,さらに順番を振って,
並べ替えた時間を,X
振った順番を,Y
としてプロットするのです.

ここで重要なのは時定数のみです.
このフィットした値が求めたい時定数となります.
このように,
binの設定によらないフィットが可能
積分できる反応式ならどの式でも大丈夫
となります.
しかも,上の式は単純な指数関数でしたが,積分できる関数なら,すべて適用可能です.
次ページに続きます.